preloader

Problems

~ Weekly challenge problems to test how far your knowledge will take you ~

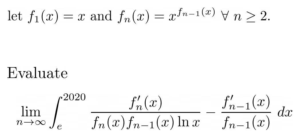
Week 1
Week 1

An integral that looks quite innocent... and it really kind of is.

Week 2
Week 2

An infinite sum that’ll surely make you want to hate trig

Week 3
Week 3

This problem will seriously make you feel stupid. Just a warning.

Week 4
Week 4

It's... quite hard, but still not pulling out your hair batshit insane :)